Anhui Feichun Special Cable Co.,Ltd Email: Li.wang@feichuncables.com

Feichun (N)SHTOEU Low Voltage Reeling Cable for E-RTG‘s
Feichun (N)SHTOEU Advanced Low Voltage Reeling Cable for High-Performance E-RTG Cranes and Demanding Applications
(N)SHTOEU Low Voltage Reeling Cable for E-RTG‘s




What is the Feichun (N)SHTOEU Cable?
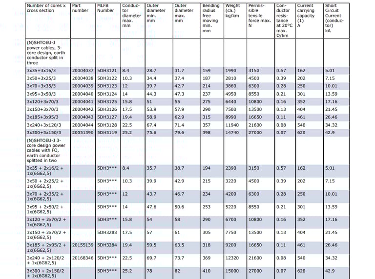
At its core, the Feichun (N)SHTOEU is a flexible low voltage reeling cable tailored for power supply in equipment under extreme mechanical stress. The designation "(N)SHTOEU" breaks down to indicate its construction: "N" for standard compliance, "SH" for heavy-duty rubber, "T" for tinned conductors, "O" for oil resistance, "E" for EPR insulation, and "U" for flame-retardant properties. Available in variants like -J (with green-yellow earth conductor) or -O (without), it's primarily used for E-RTG cranes, which are mobile gantry systems electrified to reduce diesel dependency.
What sets this cable apart is its hybrid design. It combines power cores for electricity transmission with optional integrated fiber optics for data communication. This integration eliminates the need for separate cables, reducing weight, complexity, and failure points. The cable's structure includes electrolytic tinned copper conductors in Class FS stranding for superior flexibility, PROTOLON MS insulation based on high-quality Ethylene Propylene Rubber (EPR), and a robust sheath system with anti-torsion braids.
Fiber optic options include multi-mode (G62.5/125μm or G50/125μm) for high-speed networks and single-mode (E9/125μm) for long-distance data transfer. These fibers are housed in color-coded loose tubes with ETFE covering, ensuring they withstand the rigors of reeling without signal loss.
In essence, this cable type represents the evolution of industrial cabling, moving beyond simple power delivery to enable smart, connected operations in heavy-duty settings.
Benefits and Advantages
The true value of the Feichun (N)SHTOEU lies in its benefits, which translate technical prowess into real-world gains.
First, durability: Its tinned copper conductors and EPR insulation resist corrosion and fatigue, extending lifespan in high-stress reeling. The anti-torsion braid and vulcanized bonding prevent sheath separation, reducing downtime—a critical factor where equipment failure costs thousands per hour.
Efficiency shines through high conductivity and low energy losses, minimizing heat buildup. Integrated fiber optics enable real-time monitoring, predictive maintenance, and automation, boosting productivity. For E-RTG cranes, this means seamless power and data for precise control, cutting fuel costs by enabling full electrification.
Sustainability is key: By supporting electrified systems, it reduces emissions compared to diesel RTGs. Its weather resistance suits outdoor use, and chemical stability handles oils and moisture in industrial sites.
Flexibility ensures smooth operation under bending and twisting, while the compact design simplifies installation. Overall, it offers cost savings through reliability, with users reporting up to 30% lower maintenance needs.
In heavy industry, these advantages mean safer, greener, and more efficient operations.
Usage Scenarios
The (N)SHTOEU excels in scenarios demanding power and data under stress. Primary: E-RTG cranes in ports for container handling, where it powers lifts while transmitting sensor data for automation.
Beyond ports, it's suited for mining conveyors, stacker-reclaimers, and ship loaders in heavy industry. In quarries or warehouses, it supports mobile gantries. With fiber optics, it's perfect for smart factories needing IoT integration.
In dynamic setups like festoon systems, it handles up to 240 m/min trolley speeds. For extreme climates, its thermal range fits arctic mines or tropical ports.
FAQ
What makes the (N)SHTOEU suitable for E-RTG cranes?
Its flexible design handles high reeling speeds and mechanical stresses, with integrated fiber optics for data alongside power.
Can it withstand South African mining conditions?
Yes, with -50°C to +80°C range, UV/ozone resistance, and oil-proofing, it's ideal for dusty, hot environments.
How do I choose fiber optic variants?
Multi-mode for short-range high-bandwidth; single-mode for longer distances. Consult specs for attenuation and bandwidth.
What's the warranty and lifespan?
Typically 5-10 years with proper maintenance; Feichun offers support.
Is it compliant with international standards?
Absolutely—VDE, EAC, IEC certified.
How does it aid sustainability?
By enabling electrification, it cuts emissions; its durability reduces waste.
Feichun (N)SHTOEU low voltage reeling cable embodies the future of industrial connectivity: robust, intelligent, and sustainable. From powering E-RTG cranes to enabling data-driven mining in South Africa, it solves real challenges like energy instability and mechanical wear. As heavy industry evolves, adopting such innovations isn't optional—it's essential for efficiency and growth. Explore this cable for your operations and join the revolution in cable technology.

Email Address: Li.wang@feichuncables.com
© 2025. All rights reserved.


One-click to Quickly Contact
Products
Contact
Company
Location:
Building A Private Science and Technology Park, Hefei Economic and Technological Development Zone, Anhui Province, China
Heat Resistant Cable
WhatsApp: +86 17333223430
