Anhui Feichun Special Cable Co.,Ltd Email: Li.wang@feichuncables.com

Feichun (N)SHTOEU Low Voltage Reeling Cable
Feichun (N)SHTOEU Low Voltage Reeling Cable: Revolutionizing Industrial Performance in Harsh Environments
Application
Flexible low voltage reeling cable for application under high and very high mechanical stresses.
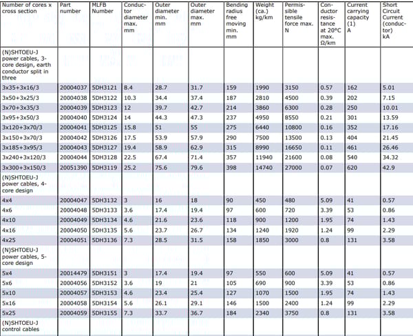
Global Data
Type designation (N)SHTOEU-J/-O
Standard Based on DIN VDE 0250-814
Certifications / Approvals VDE Reg. Nr. 7519; GOST-R
Design Features
Conductor: Electrolytic copper tinned, very finely stranded class FS
Insulation: PROTOLON MS Special compound based on high-quality EPR (min. 3GI3); improved mechanical and electrical characteristics.
Core identification: Best identification as a result of light colored insulation with numbers printed in black for power and control cables, earth conductor green-yellow colored.
Individual screen: Braid screen made of tinned copper wires. Transfer impedance optimized at 30 MHz. Surface covered: at least 60 % for shielded cores; at least 80 % for twisted and shielded pairs.
Core arrangement Laid-up in a maximum of 3 layers
Sheath system:
- PROTOFIRM Special - Inner sheath: High grade special compound based on PCP, color: yellow; - Anti-torsion braid: Reinforced braid made of polyester threads, in a vulcanized bond between the sheaths, resulting in a high strength of the sheath system;
- PROTOFIRM Special - Outer sheath: A sheath system with a unique combination of flexibility and robustness has been achieved through the use of this structure. Abrasion and tear resistant special rubber compound based on PCP, color: yellow.
Marking: (N)SHTOEU -J/-O (number of cores) x (cross section)+VDE Reg.-Nr.
Electrical Parameters
Rated voltage 0.6/1 kV (600/1000V)
Max. permissible operating voltage AC 0.7/1.2 kV
Max. permissible operating voltage DC 0.9/1.8 kV
AC Test Voltage 3.5 kV (5 Min.)
Data transmission With special elements: ASI-Bus, Profibus, CAN-Bus, Industrial Ethernet. Alternatively: Fibre optics for transmitting all bus protocols.
Current Carrying Capacity description Acc. to DIN VDE 0298-4
Chemical Parameters
Resistance to oil Acc. to DIN EN 60811-404; DIN VDE 0473-811-404, paragraph 10
Weather resistance Unrestricted use outdoors and indoors, resistant to ozone, UV and moisture.
Water resistance Given and verified in long-term tests
Thermal Parameters
Max. permissible temperature at conductor 90 °C
Max. short circuit temperature of the conductor 250 °C
Ambient temperature for fixed installation min -50 °C ; max +80 °C
Ambient temperature in fully flexible operation min -35 °C ; max +80 °C
Mechanical Parameters
Max. tensile load on the conductor 30 N/mm²
Torsional stress ± 50 °/m
Min. bending radius Acc. to DIN VDE 0298 part 3
Min. distance with S-type directional changes 20 X D
Travel speed - Gantry (reeling operation): no restriction. It is recommended to consult the manufacturer for speeds beyond 240m/min;Trolley (festoon operation): up to 240 m/min.
Additional tests Reversed bending test, roller bending test, torsional stress test.



What is the Feichun (N)SHTOEU Cable?
The Feichun (N)SHTOEU is a low voltage reeling cable specifically engineered for demanding industrial applications. VDE Registered (Reg. Nr. 7519) and EAC Certified, it is built to withstand high mechanical stress, extreme temperatures, and harsh environmental factors such as UV radiation, moisture, and oil exposure. Its robust design makes it ideal for industries requiring reliable power and data transmission in challenging settings, such as mining, industrial automation, and mobile equipment operations.
Compliance and Standards
The CORDAFLEX(SMK) adheres to international standards, ensuring global applicability:
DIN VDE 0250-814: Governs low-voltage cable specifications.
DIN VDE 0298-4: Provides installation recommendations.
DIN EN 60811-404: Ensures oil resistance for industrial environments.
These certifications make the cable a trusted choice for South African industries, where compliance with global standards is increasingly important.
Advanced Features
Data Transmission Capabilities
Beyond power transmission, the CORDAFLEX(SMK) supports advanced data communication, making it a versatile choice for modern industrial systems. It is compatible with protocols such as:
ASI-Bus
Profibus
CAN-Bus
Industrial Ethernet
Additionally, it supports fiber optic integration for multi-mode and single-mode transmission, enabling real-time data transfer in smart automation systems. This is particularly valuable in South Africa’s mining industry, where digital transformation is driving the adoption of IoT and automated systems.
Specialized Testing
To ensure reliability, the cable undergoes rigorous testing:
Reversed Bending Test: Verifies flexibility under repetitive motion.
Roller Bending Test: Confirms mechanical resilience under stress.
Torsional Stress Test: Ensures durability during twisting operations.
These tests guarantee the cable’s ability to perform in demanding environments, such as South Africa’s deep-level gold mines, where equipment faces constant mechanical stress.
Usage Scenarios
Industrial Automation
The CORDAFLEX(SMK) is ideal for automated machinery in manufacturing plants, where reliable low-voltage power and data transmission are critical. Its support for Industrial Ethernet and fiber optic integration makes it a key component in smart factories.
Mobile Equipment
In South Africa’s mining sector, mobile equipment such as cranes, reeling drums, and elevators is essential for operations. The CORDAFLEX(SMK)’s high tensile strength and flexibility ensure it can handle the constant motion and mechanical stress of these applications. For example, in a recent project at a platinum mine in Rustenburg, the cable was used to power mobile drilling rigs, resulting in a 20% reduction in downtime due to its durability.
Extreme Weather Environments
South Africa’s mining operations often face extreme weather, from the arid conditions of the Kalahari to the humid coastal regions of KwaZulu-Natal. The CORDAFLEX(SMK)’s wide temperature range and environmental resistance make it a reliable choice for outdoor applications. A case study from a diamond mine in Kimberley demonstrated the cable’s ability to maintain performance in temperatures exceeding 40°C, ensuring uninterrupted operations during peak summer months.
Benefits of the Feichun CORDAFLEX(SMK)
Durability: The cable’s robust construction ensures long-term performance in harsh environments, reducing maintenance costs and downtime.
Flexibility: Its finely stranded conductors and compliant bending radii allow for smooth operation in dynamic applications.
Reliability: Advanced shielding and high-quality materials ensure consistent power and data transmission.
Versatility: Suitable for a wide range of applications, from industrial automation to mobile equipment.
Environmental Resilience: Built to withstand extreme temperatures, UV radiation, and chemical exposure, making it ideal for South Africa’s challenging conditions.
The Feichun CORDAFLEX(SMK) (N)SHTOEU Low Voltage Reeling Cable is a game-changer for industries operating in extreme environments. Its combination of durability, flexibility, and advanced data transmission capabilities makes it an indispensable tool for South Africa’s mining and heavy industry sectors. From powering mobile equipment in gold mines to enabling smart automation in manufacturing, this cable delivers performance, safety, and efficiency. For tailored solutions and expert support, Feichun’s technical team is available to ensure optimal integration into your operations.

Email Address: Li.wang@feichuncables.com
© 2025. All rights reserved.


One-click to Quickly Contact
Products
Contact
Company
Location:
Building A Private Science and Technology Park, Hefei Economic and Technological Development Zone, Anhui Province, China
Heat Resistant Cable
WhatsApp: +86 17333223430
