Anhui Feichun Special Cable Co.,Ltd Email: Li.wang@feichuncables.com

Feichun (N)GRDGOEU Low Voltage Round Cable for Festoon Application
(N)GRDGOEU Low Voltage Round Cable: Revolutionizing Crane Festoon Systems with Unmatched Flexibility, Durability, and Performance
(N)GRDGOEU Low Voltage Round Cable for Festoon Application





A Deep Dive into Performance
To truly appreciate the RONDOFLEX (N)GRDGOEU low voltage round cable, we must examine its parameters across electrical, chemical, thermal, and mechanical domains—each tailored for demanding applications like material handling equipment.
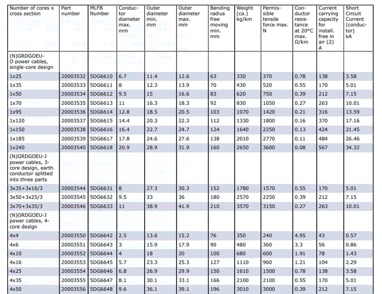
Electrically, it's rated at 0.6/1 kV (600/1000V), with maximum AC operating voltage of 0.7/1.2 kV and DC at 0.9/1.8 kV. It passes a 3.5 kV AC test for 5 minutes, ensuring insulation integrity. Current carrying capacity follows DIN VDE 0298-4: for single-core, use table 15-column 2; for multicore, column 4. For instance, a 1x25 mm² variant carries up to 138 A in free air, with short-circuit current of 3.58 kA, highlighting its robustness for power surges in mining operations.
Chemically, it resists oil per DIN EN 60811-404 and VDE 0473-811-404, and withstands ozone, UV, and moisture for unrestricted indoor/outdoor use. This is vital in South Africa's mining pits, where exposure to lubricants and weather is constant.
Thermally, the conductor handles up to 90°C continuously and 250°C in short circuits. Ambient temperatures range from -50°C to +80°C fixed, and -35°C to +80°C flexible—perfect for variable climates in heavy industries. In 2025, with South Africa's energy crisis exacerbating heat from inefficient power, this thermal resilience prevents failures during outages.
Mechanically, it supports 15 N/mm² tensile load on conductors, ±25°/m torsional stress, and bending radii per DIN VDE 0298 part 3 (minimum 20x diameter for S-type changes). Travel speeds reach 240 m/min for festoon systems (consult for higher) and 60 m/min for reeling, with bending tests confirming durability.
Available configurations include single-core (1x25 to 1x240 mm²), 3-core with split earth (e.g., 3x35+3x16/3), 4-core (4x4 to 4x50), 5-core (5x4 to 5x35), control (up to 36x2.5), and bus cables (e.g., 3x(2x1)C). Weights range from 330 kg/km for 1x25 to over 2000 kg/km for larger multicore, with conductor resistances as low as 0.08 Ω/km for 1x240.
In analysis, these specs position the RONDOFLEX (N)GRDGOEU as superior for high-stress environments. For example, its low resistance minimizes energy loss, aiding South Africa's push for efficient mining amid rising electricity costs. Scientifically, the EPR and PCP compounds leverage polymer chemistry for elasticity and strength, turning potential weak points into assets.
Applications: From Festoon Systems to Heavy Machinery
The RONDOFLEX (N)GRDGOEU low voltage round cable shines in applications requiring flexibility under stress. In festoon systems—overhead cable carriers for cranes and hoists—it handles constant bending as equipment traverses rails, powering motors and controls without interruption.
For machine tools and material handling equipment, its multicore designs integrate power and signals, simplifying setups in conveyor belts or automated loaders. In heavy industries, it's used in ports, construction, and manufacturing, where oil-resistant properties protect against spills.
Globally, it's a staple in crane operations, but in South Africa, it aligns with 2025 trends like copper mining surges (driven by renewable demands) and coal's role in energy transitions. Its high-flex nature supports electrified haul trucks, reducing diesel reliance and emissions—a key ESG focus.
Frequently Asked Questions
What makes the RONDOFLEX (N)GRDGOEU suitable for festoon systems? Its class 5 conductors and EPR insulation allow frequent bending up to 240 m/min without fatigue, ideal for crane movements.
How does it handle harsh environments? With PCP sheathing, it's oil-resistant, UV-proof, and operates from -50°C to +80°C, per DIN standards.
What's the difference between -J and -O variants? -J includes earth conductors; -O lacks them, suiting specific power needs.
Can it be used in mining? Yes, its mechanical parameters support heavy stresses in material handling, addressing South Africa's energy and safety issues.
What's the maximum current for a 4x25 mm² cable? Up to 138 A in air, with 3.58 kA short-circuit capacity.
The RONDOFLEX (N)GRDGOEU low voltage round cable represents the pinnacle of flexible cable technology, blending durability with efficiency to meet the demands of festoon systems and beyond. In South Africa's 2025 mining landscape—marked by energy crises, innovation needs, and sustainability drives—it's a strategic asset. By reducing downtime, enhancing safety, and supporting electrification, it paves the way for resilient heavy industries. As trends evolve, investing in such tech ensures operations not just survive, but thrive.

Email Address: Li.wang@feichuncables.com
© 2025. All rights reserved.


One-click to Quickly Contact
Products
Contact
Company
Location:
Building A Private Science and Technology Park, Hefei Economic and Technological Development Zone, Anhui Province, China
Heat Resistant Cable
WhatsApp: +86 17333223430
