Anhui Feichun Special Cable Co.,Ltd Email: Li.wang@feichuncables.com

SPREADERFLEX 3GSLTOE 0.6/1kV Spreader Cable for Basket Operation
SPREADERFLEX 3GSLTOE Crane Spreader Cable: A High-flex, Durable Solution for Crane Basket Operations
SPREADERFLEX 3GSLTOE 0.6/1KV Spreader Cable for Basket Operation
Application | Feeder cable for load-lifting equipment (e.g., spreader) with high mechanical stress in gravity-fed collector basket operation, voltage rate up to 0.6/1 kV. Suitable for cold environments. |
Global Data | |
Brand | SPREADERFLEX |
Type Designation | 3GSLTOE-J/-O |
Standard | Based on DIN VDE 0250 |
Certifications/Approvals | GOST-R |
Notes on Installation | Cable must be laid into the basket in a counter-clockwise direction; detailed installation instructions available upon request. |
Design Features | |
Conductor | Bare electrolytic copper, extremely fine stranded, class FS |
Insulation | Special EPR compound (type 3GI3 per DIN VDE 0207), suitable for ambient temperatures down to -40°C |
Core Identification | Light-colored insulation with black printed numbers; protective earth conductor green/yellow |
Individual Screen | Braid screen of tinned copper wires, transfer impedance optimized at 30 MHz; surface coverage: ≥60% for shielded cores, ≥80% for twisted pairs |
Core Arrangement | Cores laid-up into bundles; bundles laid-up around central support element |
Support Element | Aramide threads woven around lead ball cords, centrally arranged; breaking load provides safety factor of 5 for 50 m vertical suspension. For larger cross-sections/higher core counts, round rubber filler with Aramid threads. |
Outer Sheath | Special PUR compound, black |
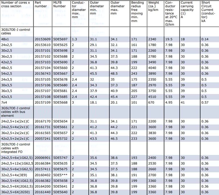
Marking | SPREADERFLEX 3GSLTOE-J (number of cores) x (cross-section) |
Electrical Parameters | Rated Voltage | 0.6/1 kV (600/1000V) |
Max. Permissible Operating Voltage (AC) | 0.7/1.2 kV | |
Max. Permissible Operating Voltage (DC) | 0.9/1.8 kV | |
AC Test Voltage | 3.5 kV (5 Min.) | |
Data Transmission | With special bus elements: ASI-Bus, Profibus, or use of fibre optics elements | |
Current Carrying Capacity | According to DIN VDE 0298, Part 4 | |
Chemical Parameters | Resistance to Oil | Acc. to DIN EN 60811-404; DIN VDE 0473-811-404, paragraph 10 |
Weather Resistance | Unrestricted use outdoors and indoors, resistant to ozone, UV, and moisture | |
Thermal Parameters | Max. Permissible Temperature at Conductor | 90 °C |
Max. Short Circuit Temperature of the Conductor | 250 °C | |
Ambient Temperature for Fixed Installation | Min -50 °C; Max +80 °C | |
Ambient Temperature in Fully Flexible Operation | Min -40 °C; Max +80 °C | |
Mechanical Parameters | Max. Tensile Load | Increased tensile load through additional support element |
Torsional Stress | Designed for best torsional properties according to the corresponding application | |
Min. Bending Radius | Acc. to DIN VDE 0298 part 3 | |
Travel Speed | Hoist: up to 160 m/min | |
Basket Design | Dimensions | Dependent on system (e.g., space requirements, hoisting height, speed, wind load) |
Recommended Basket Diameter | Min. 30xD (where D = cable diameter) | |
Recommended Basket Height | Approx. 45xD (where D = cable diameter) |



In the demanding world of heavy industry, particularly in South Africa’s mining and port operations, cranes are the backbone of efficient material handling. These machines require specialized components to ensure safety, reliability, and performance under extreme conditions. Among these, the SPREADERFLEX 3GSLTOE Crane Spreader Cable stands out as a high-flex, heavy-duty cable designed specifically for crane basket and grab systems. This article explores the cable’s technical specifications, benefits, installation and maintenance guidelines, usage scenarios, and its relevance to South Africa’s industrial landscape, including real-world case studies.
Benefits of the SPREADERFLEX 3GSLTOE Cable
The SPREADERFLEX 3GSLTOE offers several advantages that make it a top choice for crane operations:
High Flexibility: Its fine-stranded copper conductors and PUR sheath allow continuous bending and movement without compromising integrity, ideal for crane baskets and grab systems.
Mechanical Stress Resistance: The cable’s robust construction, including the aramide support element, ensures it can withstand the high tensile and torsional stresses of vertical lifting.
Durability: The oil-resistant, weatherproof, and UV-resistant sheath extends the cable’s lifespan, even in harsh environments like South Africa’s mining sites.
Reliable Data Transmission: Configurations with bus elements or fiber optics ensure trouble-free communication, critical for automated crane systems.
Cold Environment Performance: With a minimum operating temperature of -40°C, it is well-suited for cold storage or high-altitude mining operations.
Reduced Downtime: The cable’s durability and low maintenance requirements minimize operational interruptions, enhancing productivity.
Usage Scenarios in South Africa
South Africa’s mining and heavy industry sectors, particularly in regions like Mpumalanga and the Northern Cape, rely heavily on cranes for material handling. The SPREADERFLEX 3GSLTOE is tailored for such applications:
Mining Operations: In open-pit mines, such as those extracting coal or iron ore, crane baskets and grab systems are used to move heavy loads. The cable’s ability to withstand mechanical stress and harsh weather makes it ideal for these environments.
Port Operations: At ports like Durban, cranes handle container lifting, requiring cables that can endure continuous reeling and exposure to moisture and salt. The SPREADERFLEX 3GSLTOE’s weatherproof and oil-resistant properties ensure reliable performance.
Cold Storage Facilities: In cold storage warehouses, where cranes operate at low temperatures, the cable’s -40°C flexibility is a significant advantage.
Automated Systems: With integrated bus or fiber optic elements, the cable supports advanced crane automation, crucial for modern industrial facilities
Frequently Asked Questions (FAQ)
Q: What is the SPREADERFLEX 3GSLTOE cable used for?
A: It is designed for crane basket and grab systems, vertical lifting, and spreader applications in heavy industries like mining and ports.
Q: Can the cable operate in extreme temperatures?
A: Yes, it supports a temperature range of -50°C to +80°C for fixed installations and -40°C to +80°C for flexible operations.
Q: Is the cable suitable for data transmission?
A: Configurations with ASI-Bus, Profibus, or fiber optics ensure reliable data transmission for automated crane systems.
Q: How does the cable handle mechanical stress?
A: Its fine-stranded copper conductors, aramide support element, and PUR sheath provide exceptional resistance to tensile and torsional stresses.
Q: What are the installation requirements?
A: The cable should be laid counter-clockwise in a basket with a minimum diameter of 30xD and height of 45xD. Follow DIN VDE standards and supplier guidelines.
Q: Is it suitable for South Africa’s mining industry?
A: Absolutely. Its durability, weatherproofing, and flexibility make it ideal for the harsh conditions of South African mines.
Q: How often should the cable be maintained?
A: Regular inspections every 3–6 months are recommended, with cleaning and tension checks to ensure longevity.
The SPREADERFLEX 3GSLTOE Crane Spreader Cable is a game-changer for heavy-duty crane operations, particularly in South Africa’s mining and port sectors. Its high-flex design, mechanical stress resistance, and weatherproof properties make it a reliable choice for crane baskets, grab systems, and vertical lifting applications. By investing in this cable, industries can enhance efficiency, reduce downtime, and ensure safety in demanding environments. Whether you’re operating in a coal mine in Mpumalanga or a port in Durban, the SPREADERFLEX 3GSLTOE delivers the performance and durability needed to keep operations running smoothly.

Email Address: Li.wang@feichuncables.com
© 2025. All rights reserved.


One-click to Quickly Contact
Products
Contact
Company
Location:
Building A Private Science and Technology Park, Hefei Economic and Technological Development Zone, Anhui Province, China
Heat Resistant Cable
WhatsApp: +86 17333223430
